6月26日晚制药巨头辉瑞表示,公司将停止开发其尚处于临床试验阶段的肥胖症和糖尿病药物,将把重点放在另一种口服减肥药物上,原因是中期临床研究中服用该药的患者转氨酶升高。
转氨酶升高是判断肝细胞受损比较敏感的一项指标,多个BTK抑制剂治疗自免疾病受到该指标升高的困扰,临床出现这一现象可能意味着部分患者肝细胞和肝功能受损。不过,辉瑞也表示:“没有患者出现与肝脏相关的症状或副作用,也没有患者出现肝衰竭或者需要治疗。”
目前,抛开已上市诺和诺德的口服索马鲁肽,全球口服小分子GLP-1RA领军者基本是礼来和辉瑞之争,中美华东合作的Vtv 也在紧追临床进度,2023年4月礼来GLP-1R口服激动剂启动III期,而辉瑞则计划等待和二期临床均出炉择优选择最好的一个进军临床三期。
不过,从昨晚礼来的股价并没有因为辉瑞的“掉链子”而明显受益,可能市场并不认为这件事情对行业或者礼来起到正面的反馈。
01 辉瑞不乏在口服GLP-1有全军覆没的风险,礼来亦有隐忧
辉瑞公司首席执行官 表示:“口服小分子GLP-1RA的270亿美元的市场,辉瑞能从中占到100亿美元。”
这番话很可能源于其对公司“双子星”和的充足信心,两者结构差异并不算太大。
(图源:氨基观察)
据悉,(PF-)是在基础上优化的分子,具有更长的半衰期,患者每天只需要口服一次,而后者需要每天口服两次。
2023年5月,率先公布了亮眼的数据:在通过对411名患有2型糖尿病的成年人进行的二期临床研究发现,所有剂量的均显著降低患者的HbA1c和空腹血糖水平,且服用120毫克的患者在16周内体重减轻了约10磅。
相比之下,已有索马鲁肽的三期临床结果显示:接受1mg注射剂的成年人在30周内平均减重约9.9磅;这可能意味着的减重效果能够媲美索马鲁肽,而且起效更快。
不过需要注意的是,尽管在减重的表现上比索马鲁肽的表现更好;但在降低血糖方面,没有一个剂量能比得上高剂量组(14mg)的索玛鲁肽片剂。
在安全性上也有隐忧,无论是在糖尿病还是肥胖适应症上,二期数据均展现了不小的安全性风险;在高剂量80mg-200mg治疗下,糖尿病2a期试验中分别有高达29%和22%的患者出现呕吐和腹泻,由于这个剂量窗中是唯一可以媲美索玛鲁肽片剂效果的剂量,所以选择治疗窗口将受到考验;而在肥胖适应症中,46%的人在接受200mg治疗后出现呕吐。
另外,在已有的三个II期临床数据中,均有增加患者舒张压的趋势,也有增加转氨酶的倾向。
视角转向礼来,其GLP-1R口服激动剂并非没有隐忧。
在2022年10月礼来公布的临床一期结果显示:安全性方面,组最常报告的治疗中出现的不良事件是恶心(47.1%)、食欲下降(45.1%)和呕吐(43.1%)。不过,这些发生在治疗早期,并随着时间的推移而减少,亦没有相关的肝脏异常和严重不良事件。
02 小分子GLP-1的安全风险机理未明,但巨头笃定这个方向
辉瑞小分子GLP-1RA的毒性尚未有明确的机理数据作为支撑,过往小分子GLP-1RA一直被业界视为是“高效低毒”的优解。
全球已上市的GLP-1RA几乎均为大分子多肽药物,需皮下注射,存在着用药依从性差、产能低、治疗成本高等限制;而小分子药物因其口服使用便捷、易于生产、价格低廉等优势,无疑能够弥补肽类药物的缺点。所以,小分子GLP-1RA药物成为各大制药巨头争先布局的对象。
(图源:氨基观察)
2019年,诺和诺德的口服索马鲁肽率先上市,成为全球第一款获得FDA批准的口服GLP-1RA。
据资料显示,是将索马鲁肽与名为SNAC的小分子吸收增强剂一起构成的口服配方,SNAC基于它的亲脂性,能够嵌入到细胞膜上,帮助索马鲁肽和SNAC被细胞快速吸收,这一配方让索马鲁肽达到足够的口服生物利用度。另外,SNAC在胃部的溶解能够在局部提高环境的pH值,这不但能够提高索马鲁肽的溶解度,而且能够防止索马鲁肽被胃中的肽酶降解。
相较于目前的多肽药物,小分子GLP-1RA如果能够做到“等效低毒”,无疑能够为大药厂们赚取更大的利润空间。
前段时间,诺和诺德因司美格鲁肽产能不足,随后多次宣布增加投资扩建或新建其在丹麦卡伦堡、和美国克莱顿的工厂,用以提升原料药的产能以及组装和包装的能力。
不过,多肽的工艺要求较高,单一合成釜产量较小(如固相合成大部分在1000L以下),因此司美格鲁肽全球供应紧张的问题并未解决。
而反观小分子药物,大多数是通过液相合成,在产能上没有固相多肽合成的限制。另外,生产项目管理也比多肽药物更有优势,成本较多肽相对可控。
03 在风中凌乱的国产“”们
作为小分子GLP-1RA先驱的辉瑞出现问题,令国内一众“Fast ”或者“Me ”的玩家感到尴尬。
据猎药人俱乐部6月份的不完全统计,全球在研小分子GLP-1受体激动剂共有38款。
如果从目前国内企业进入IND临床阶段的小分子GLP-1受体激动剂统计,国内企业至少占了全球在研管线的1/3。
近日以来,能够看到越来越多的小分子GLP-1RA进入临床,包括信立泰的片、苏州康宁杰瑞融合蛋白KN056、海思科片等。
国内在研口服小分子GLP-1R激动剂厂商
昨晚辉瑞失利,更有业内人士戏称:“国内可能先发辉瑞口服GLP-1的反倒落入下风,慢的可以转向礼来了。”
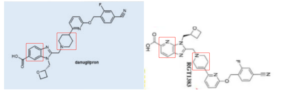
要说国内最尴尬的小分子GLP-1研发厂商是谁,无疑是早前就陷入舆论风波的齐鲁锐格医药。
辉瑞在2022年初就对锐格医药两创始人邱夏杨和钟敏提起诉讼,称两人在辉瑞任职期间创立了锐格医药,并涉嫌窃取辉瑞正在开发的胰高血糖素样肽1(GLP-1)药物相关的商业机密。随即,锐格医药积极展开答辩和反诉。
不过据材料显示,上海药物研究所&齐鲁锐格医药合作研发的小分子(申请日中的化合物289),结构与的确有相似之处。
(图源:氨基财经&医药速览)
查阅锐格医药官网,公司成立已经启动了超过15个发现项目。以管线进度看,两款GLP-1RAs研发进度最快,两者均为小分子口服药。
结语:据业内人士表示,消费者对于小分子GLP-1RA恶心呕吐(非长远不可逆)的忍耐度可能超出市场想象,如果没有其他新增较大的副作用,不会影响小分子GLP-1RA的市场空间和两巨头管线的顺利上市。
至于国内小分子GLP-1RA玩家们,真正检验临床执行力和改良技术的“内卷战”要来了。
本文为李药师为科学辟谣平台撰写的专栏文章,分享过来与大家共享——三月不减肥,四月徒伤悲;四月不减肥,五月徒伤悲……马上到了露肉的季节,不少人都...

吃药减肥靠谱吗 【聊健康】 7月16日,国家卫健委举行新闻发布会,健康中国行动推进委员会专家咨询委员会委...

减肥药排行榜第一名具有减肥效果的中成药有湿消丸(七消丸)、轻身消胖丸、降脂减肥片、排毒清脂胶囊、防风通圣丸、减肥通圣片等,需要注意使用时...
最近“地下减肥市场”疯传一种减肥药,并且已经成为减肥者的“地下宠儿”,这种药就是司美格鲁肽,一种GLP-1类降糖药。这种药对于减肥到底多有用?看...
2010年10月30日,中国国家食品药品监督管理局发布通知:由于使用减肥辅助治疗药物西布曲明可垂滑广社诗从严京民括能增加严重心血管风险,减肥治疗...